【ベストコレクション】 differentiate log(x 1/x) 238553-Differentiate log(1+x) w.r.t.sin^(-1)x
Login Create Account Class12science » Maths Differentiate log x1 x 1 Share with your friends Share 0 Let y = log x1 x 1 ⇒ y = log x1 x 1 1 2 ⇒ y = 1 2 log x1 x 1 ⇒ y = 1 2 log x1log x 1 Differentiate it with respect to x d y d x = 1 2 d d x log x1 · We see that the slope of the graph for each value of x is equal to `1/x` This works for any positive value of x (we cannot have the logarithm of a negative number, of course) If we did many more examples, we could conclude that the derivative of the logarithm function y = ln x is `dy/dx = 1/x` Note 1 Actually, this result comes from first principlesYou wrote Distribute the left term across the two right terms That is the same mistake that we see when we consider simplifying $\dfrac 3 4\times \dfrac 5 3$ One can multiply $$ \frac{3\times 5}{4\times 3} = \frac{15}{12} $$ but that is not a good way to simplify
Rd Sharma Solutions For Class 12 Maths Chapter 11 Differentiation Download Free Pdf
Differentiate log(1+x) w.r.t.sin^(-1)x
Differentiate log(1+x) w.r.t.sin^(-1)x-Find the Derivative d/dx log of 1/x Differentiate using the chain rule, which states that is where and Tap for more steps To apply the Chain Rule, set as The derivative of with respect to is Replace all occurrences of with Combine and Multiply by the reciprocal of the fraction to divide by Simplify the expression Tap for more steps Multiply by Rewrite as Differentiate · Carrying on, eqn (1) gives dy/dx = 05 2/(1 x^2) = 1/(1 x^2) (2) Then d^2 y/dx^2 = 2x/(1 x^2)^2 (3) How far were you expected to go?



Differentiate Log X Sin X Cot 2 X W R T X Sarthaks Econnect Largest Online Education Community
The first derivative of f(x) = log b x is given by f '(x) = 1 / (x ln b) Note if f(x) = ln x , then f '(x) = 1 / x Examples Example 1 Find the derivative of f(x) = log 3 x Solution to Example 1 Apply the formula above to obtain f '(x) = 1 / (x ln 3) Example 2 Find the derivative of f(x) = ln xFor example, to calculate online the derivative of the product of the following functions `x^2*cos(x)`, with the differentiate calculator enter derivative_calculator(`x^2*cos(x);x`), after calculating result `2*x*cos(x)x^2*sin(x)` is returnedAn online logarithmic differentiation calculator to differentiate a function by taking a log derivative Log Derivative Calculator Enter a function to differentiate (Eg x^4 90*x) Rules for Specifying Input Function 1 Use ^ for representing power values Eg Write input x 2 as x^2 2 Use ^(1/2) for square root ,'*' for multiplication, '/' for division, '' for addition, '' for
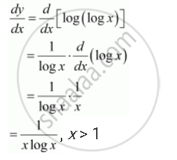
As d/dx of log x is 1/x, and d /dx of log (logx) will be 1/logx ×1/x as chain rule will be followed in this case Chain rule is followed when derivative is not in x means in terms in which you are differentiating it is not difficult but only the thing is that you have to practice alot and you will be master in such types of questionsDifferentiate the log (x 1/x) wrt x ← Prev Question Next Question → 0 votes 16 views asked May 15, in Differentiation by RajeshKumar (507k points) closed May 16, by RajeshKumar Differentiate the log (x 1/x) wrt x differentiation;Differentiate each of the following functions (a) Since f(x) = 5, f is a constant function;
Example 1 Differentiate x 2 from first principles Solution f'(x) = lim h> 0 f(xh) f(x)/h (1) f(x) = x 2 f(xh) = (xh) 2 f(xh) = x 2 2hxh 2 f(xh · In this section we will discuss logarithmic differentiation Logarithmic differentiation gives an alternative method for differentiating products and quotients (sometimes easier than using product and quotient rule) More importantly, however, is the fact that logarithm differentiation allows us to differentiate functions that are in the form of one function raised to anotherStack Exchange network consists of 176 Q&A communities including Stack Overflow, the largest, most trusted online community for developers to learn, share their knowledge, and build their careers Visit Stack Exchange



Ex 5 4 8 Ex 5 4



Rd Sharma Solutions For Class 12 Maths Chapter 11 Differentiation Download Free Pdf
· (1 1/𝑥) 1/𝑣 (𝑑𝑣/𝑑𝑥) = (𝑑(1)/𝑑𝑥𝑑(1/𝑥)/𝑑𝑥) log𝑥 1/𝑥 (1 1/𝑥) 1/𝑣 (𝑑𝑣/𝑑𝑥) = (0((−1)/𝑥^2 )) log𝑥 1/𝑥 (1 1/𝑥) 1/𝑣 (𝑑𝑣/𝑑𝑥) = (−1)/𝑥^2 log𝑥 1/𝑥 (1 1/𝑥) 1/𝑣 (𝑑𝑣/𝑑𝑥) = (−log𝑥)/𝑥^2 1/𝑥 1/𝑥^2 1/𝑣 (𝑑𝑣/𝑑𝑥) = (−log𝑥)/𝑥^2 1/𝑥 1/𝑥^2 1/𝑣 (𝑑𝑣/𝑑𝑥) = ((−log𝑥 𝑥Let g (x) = x 3 ln (x 2 f (x)), where f (x) is a differentiable, positive function on (0, ∞) satisfying f (2) = 4 1 and f ′ (2) = − 3, then g ′ (2) equal to · May 14, 15 There are several ways to get to the correct answer Here is one Use properties of logarithm to rewrite y = ln( x 1 x − 1) = ln(x 1) −ln(x − 1) Now use d dx (lnu) = 1 u du dx to get dy dx = 1 x 1 − 1 x − 1 If you prefer to write the result as a



12 X1 T01 02 Differentiating Logs 12



Ex 5 7 10 Find Second Order Derivatives Of Sin Log X
Find an answer to your question differentiate log (1/x) kanigaR kanigaR Math Secondary School answered Differentiate log (1/x) 2 See answersDifferentiate Log (1 X2) WRT Tan1 (X) Maharashtra State Board HSC Commerce 12th Board Exam Question Papers 192 Textbook Solutions Important Solutions 2337 Question Bank Solutions Concept Notes & Videos 248 Time Tables 23 Syllabus Advertisement Remove all ads Differentiate Log (1 X2) WRT Tan1 (X) Mathematics and Statistics Sum Differentiate log (1 xDifferentiate xy log(xy) = 1



Solved Differentiate Y 4 In X 1 X 1 4x 4 X 1 4x Chegg Com



Solved Differentiate Log 1 X W R T X Brainly In
How do you differentiate y = log x^2?Where h(x) = x^2 1 and g(x) = x · Both the derivatives of ln and log are 1/x Reactions faizahkayy27 S _ShiFTy_ Member Joined Aug 7, 05 Messages 185 Gender Male HSC 06 Mar 9, 06 #6 Generally, the derivative of ln(f(x)) is f'(x)/f(x) S SoulSearcher Active Member Joined Oct 13, 05 Messages 6,757 Location Entangled in the fabric of spacetime Gender Male HSC 07 Mar 9, 06 #7 Another derivative of a log



7 3 General Exponential And Logarithmic Functions



What Is Differentiation Of Y Log X 1 X Quora
Hence f '(x) = 0 (b) With n = 15 in the power rule, f '(x) = 15x 14 (c) Note that f(x) = x 1/2 Hence, with n = 1/2 in the power rule, (d) Since f(x) = x1, it follows from the power rule that f '(x) = x2 = 1/x 2It looks like the derivatives will get quite messy from now on For example d^3 y/dx^3 = 2 (1 3 x^2) / (1 x^2)^3 (4) (Perhaps one could hope to find the general expression by obtaining a recurrence relation, but I'mDifferentiate y = log whole root x 1/ x 1 Math NCERT Solutions;



Differentiate X Logx Log Log X W R T X From Mathematics Continuity And Differentiability Class 12 Up Board



If Xy E X Y Then Prove That Dy Dx Log X 1 Log X 2 Sarthaks Econnect Largest Online Education Community
· can you differentiate log(x/1x) easily and does this become x/1x?Now, you have to recall the derivative formula for logarithmThat is, log y = 1/y * dy dy/dx = 1/ (x^21) *derivative of (x^21) 1/x* derivative of (x) dy/dx = 1/ (x^21) * 2x 1/x * 1Let f(x) = {((a(1 xsinx) bcosx 5)/x^2, x < 0), (3, x = 0), (1 ((cx dx^3)/x^2)^1/x, x > 0)



Differentiate Log 1 X 2 With Respect To Tan 1 Xdot Youtube



If Y Log7 Log X Find Dydx
· Yahoo Answers is shutting down on 4 May 21 (Eastern Time) and, as of April 21 (Eastern Time), the Yahoo Answers website will be in readonly mode · how to differentiate log log(1/x)?Login Create Account Class12commerce » Math differentiate y = log whole root x 1/ x 1 Share with your friends Share 1 We have, y = log x1 x 1 Differentiating both sides w r t x, we get d y d x = 1 x1 x 1 × x 1 d d x x1x1 d d x x



Cbse X Maths Sample Papers Rajasthan Board D



12 X1 T01 02 Differentiating Logs 12
F (x) = log b (x) The derivative of the logarithmic function is given by f ' (x) = 1 / (x ln(b) ) x is the function argument b is the logarithm base ln b is the natural logarithm of b For example when f (x) = log 2 (x) f ' (x) = 1 / (x ln(2) )Free derivative calculator differentiate functions with all the steps Type in any function derivative to get the solution, steps and graphFind the Derivative d/dx (1x^2)/(1x^2) Differentiate using the Quotient Rule which states that is where and Differentiate Tap for more steps By the Sum Rule, the derivative of with respect to is Since is constant with respect to , the derivative of with respect to is Add and Differentiate using the Power Rule which states that is where Move to the left of By the Sum Rule



Differentiate W R T X The Function Log X Log X X 1 Mathematics Shaalaa Com



Y Sqrt X 2 1 Log 1 X Sqrt 1 1 X 2 Find Dy Dx Youtube
Logarithmic differentiation Calculator online with solution and steps Detailed step by step solutions to your Logarithmic differentiation problems online with our math solver and calculator Solved exercises of Logarithmic differentiationGet the answer to this question and access a vast question bank that is tailored for studentsAfter searching across the web, I am being told differentiating log(x) and ln(x) gives the same answer But when I try differentiating them both on the calculator by substituting in values, the answers are different



Differentiate W R T X The Function Logx Logx X 1



Differentiate Log Tan 1 X With Respect To X
· Hi all For any of you who have done differential calculus, I need a little help with a problem involving natural logarithms The question asks to differentiate y = ln x from first principles It says "use the definition of the Euler number, namely e = lim(n>inf) (11/n)^n" FirstOn the page Definition of the Derivative, we have found the expression for the derivative of the natural logarithm function \(y = \ln x\) \\left( {\ln x} \right)^\prime = \frac{1}{x}\ Now we consider the logarithmic function with arbitrary base and obtain a formula for its derivativeShare It On Facebook Twitter Email 1 Answer 1 vote answered May 15, by Subnam01 (5k points) selected



Differentiate With Respect To X Log X X X Log X Find The Answer Askiitians



Use Logarithmic Differentiation To Find Frac Dy Dx Mathematics Stack Exchange
· The differential of ln(x) is 1/x, but what is the differential of log(x)?The given function is of the form log(f(x)) It's differentiation will be 1/f(x)*f'(x), where f(x) is (x^2 1)/(x^2 1) f(x) is of the form h(x)/g(x), it's differentiation will be {g(x)*h'(x)h(x)*g'(x)}/g(x)^2;Differentiate log x1x1 Maths NCERT Solutions;



If Y Log 1 X 2 1 X 2 Then Dy Dx A 4x 3 1 X 4



Differentiate Wrt X Don T Go Shortcut Log X 1 X2 1 2 Mathematics Topperlearning Com Drs6hj22



Differentiate The Function F X Log 4 Xe X Study Com



If Y Log X Rt X2 1 2 Show That 1 X2 Y2 Xy1 2 Mathematics Topperlearning Com Uz7rkazz



Integration 1 Log X 1 Log X 2 Dx Explain In Great Detail Mathematics Topperlearning Com Kuo22p22



Misc 7 Differentiate Log X Log X Chapter 5 Class 12



Ex 5 5 2 Differentiate Root X 1 X 2 X 3 X 4 X 5



Lesson 16 Derivatives Of Exponential And Logarithmic Functions



Differentiate The Following Function 3e 3x Log 1 X



Proof The Derivative Of Ln X Is 1 X Video Khan Academy



Rd Sharma Solutions For Class 12 Maths Chapter 11 Differentiation Download Free Pdf



Differentiate Log X X2 A W R T X Studyrankersonline



Math Scene Derivatives Lesson 5 The Chain Rule



Derivatives Of Logarithmic Functions Problem 3 Calculus Video By Brightstorm



Solution Differentiate Y Log 10 X 2 2 2



Differentiate The Following W R T X Xx 1 X Log X From Mathematics Continuity And Differentiability Class 12 Tripura Board



5 Derivative Of The Logarithmic Function



Differentiate Log X 2 X 1 X 2 X 1 With Respect To X



If Y Log X Root X2 1 Then Prove That X2 1 Dy Dx X Dy Dx 0 Brainly In



Differentiate The Function With Respect To X X Cos X X X Sin X 1 X Mathematics Shaalaa Com



How To Differentiate Log Log X Quora



Implicit And Logarithmic Differentiation



Differentiate The Tan 1 Log X W R T X Sarthaks Econnect Largest Online Education Community



Differentiate X Log X W R T X Pls Fassssttttt Askiitians



Differentiate Log Log Logx5 W R T X Studyrankersonline



Solved Differentiate F X Log X 5 1 5 Ln 9 X 4 X 5 1 Chegg Com



Rd Sharma Solutions For Class 11 Chapter 30 Derivatives Download Free Pdf Available



The Derivative Of 5 Log X With Respect To X Is



What Is The Derivative Of 1 Logx Quora



What Is The Derivative Of X 2 Log X Quora



Differentiate The Function With Respect To X X Xcosx X 2 1 X 2 1 Mathematics Shaalaa Com



Differentiate Log X Sin X Cot 2 X W R T X Sarthaks Econnect Largest Online Education Community



Derivative Of Log X 1 X Proof In Calculus Youtube



Differentiate The Function With Respect To X Log X X Xlog X Mathematics Shaalaa Com



Ipe Material Notes



Find The Derivative Of Log Log Log X Stumbling Robot



Differentiate X 1 X 2 X 3 X 4 X 5 Cute766



What Is The Derivative Of 1 Logx Quora



Ex 5 4 9 Differentiate Cos X Log X Chapter 5 Ncert



What Is Derivative Of X X 1 Logx Quora



If Y X 2 1 Log 1 X 1 1 X 2 Find Dy Dx Sarthaks Econnect Largest Online Education Community



Differentiate The Following Equation Log X2 X 1 X2 X 1 Brainly In



Differentiate Log X 1 X Brainly In



5 Derivative Of The Logarithmic Function



5 Derivative Of The Logarithmic Function



Sample Json Log Format Sample Web R



Differentiate The Function With Respect To X Sqrt X 1 X 2 X 3 X 4 X 5 Mathematics Shaalaa Com



Solved Differentiate F X Log X 8 1 Xln 10 1 8 Xln X 8 Chegg Com



Log X Differentiation Page 1 Line 17qq Com



Derivatives Of Exponential Logarithmic Functions Ppt Download



Differentiate Log Sin X By First Principle Maths Meritnation Com



Integration Log X Dx 1 Log X 2 Explain In Great Detail Mathematics Topperlearning Com 11tgoy44



Solved O Use Implicit Differentiation To Show That If Y Chegg Com



Logs And Derivatives



Ipe Material Notes



If Y Log 1 Cosx Prove That D 3y Dx 3 D 2y Dx 2 Dot Dy Dx 0 Youtube



Differentiate Log X Page 1 Line 17qq Com



Implicit And Logarithmic Differentiation



5 Derivative Of The Logarithmic Function



Differentiating Logarithmic Functions Using Log Properties Video Khan Academy



Find The Derivatives W R T X Log Sin Sqrt X 2 1 Youtube



Differentiate Log X Page 1 Line 17qq Com



Differentiate Log X With Respect To Sin Inverse Root X Brainly In



Lesson 16 Derivatives Of Exponential And Logarithmic Functions



Ex 5 5 7 Differentiate The Function Log X X X Log X



How To Differentiate The Distribution Function Of Lognormal Distribution With Respect To Its Parameters Cross Validated



Differentiate Log X Ex W R T X Log X From Mathematics Continuity And Differentiability Class 12 Cbse



Mod Pdf Trigonometric Functions Derivative



Differentiate Log X 2 Sqrt X 2 4x 1



What Is The Differentiation Of Log X 2 1 X 2 1 W R T X Quora



Differentiate The Function With Respect To X X E X 1 Log X Sarthaks Econnect Largest Online Education Community



What Is The Differentiation Of 1 X Log X Quora



Differentiating Logarithmic Functions Using Log Properties Video Khan Academy



The Derivative Of Logx With Respect To X Is Maths Application Of Derivatives Meritnation Com



Urgent Differentiate 1 Y Log Log Logx3 2 Y Log Tan X 2 3 Y Xsin 1x Root Maths Continuity And Differentiability Meritnation Com



What Is The Derivative Of 1 Logx Quora



Math 2 Pages 1 222 Flip Pdf Download Fliphtml5



3 Differentiation And Applications Of Derivatives Docx Monotonic Function Tangent



Differentiate The Following W R T X Log Log X X 1 Mathematics Shaalaa Com

コメント
コメントを投稿